CERA TRAP®: una solución en bioprotección para el control de las moscas de las frutas.
El trampeo masivo surgió en España en los años 90 como un sistema alternativo y eficaz al uso extensivo de aplicaciones de insecticidas, que hasta entonces se planteaban como única estrategia abordable para el control de moscas de la fruta. Los programas de pulverización de insecticidas ya fueran aéreas o localizadas, acababan provocando desequilibrios en los sistemas agrícolas, prejuicios en la fauna útil, y riesgos tanto en la salud del aplicador como del consumidor final. El uso de atrayentes alimenticios líquidos como Cera Trap® confiere dos ventajas añadidas. Por un lado, los atrayentes líquidos no necesitan ni en su formulación ni en su uso, el empleo de ninguna sustancia insecticida. Por otro lado, puesto que funcionan por emisión de compuestos volátiles proteicos, suelen atraer mayoritariamente individuos hembras (agente reproductor y responsable del daño en la fruta), a diferencia de compuestos de feromonas sexuales que atraen mayoritariamente a machos. En comparación a un programa de tratamientos reiterados de insecticidas, la estrategia de captura masiva con Cera Trap® consigue reducir significativamente el nivel de plaga de la parcela, así como los daños en fruto incluso a un nivel inferior que el programa estándar insecticida (ej. Piretrinas de síntesis), con la ventaja de reducir a la vez los residuos químicos, la generación de resistencias, así como el coste económico y medioambiental de la gestión de materias activas insecticidas. En los últimos tiempos, el sistema de trampeo masivo ha ido sustituyendo al programa de aplicaciones recurrentes de insecticidas, presentándose como una herramienta complementaria dentro de la gestión integradas de plagas (IPM) y ofreciendo una opción eficaz y económicamente viable para el óptimo control de las moscas de la fruta.
BREVE RESEÑA HISTÓRICA
Para comprender la introducción de la técnica del trampeo masivo en el control de la Mosca del Mediterráneo hay que hacer referencia al pasado de la citricultura en el Levante Español, ya que fue aquí donde se implementó por primera vez esta técnica de cultivo. En la segunda mitad del siglo XX la citricultura fue un importante motor para el desarrollo económico en España. La Administración ayudaba al Sector de diferentes maneras y una muy importante era para el control de la Mosca de la Fruta o del Mediterráneo (Ceratitis capitata Wied.). Esta ayuda consistía en una información exhaustiva al agricultor por parte del Servicio de Extensión Agraria y en los tratamientos aéreos periódicos con insecticidas y proteínas hidrolizadas durante la época de maduración de las naranjas y mandarinas.
En los años 90 se completa el desarrollo del producto conocido como “tripack” que, usado en mosqueros desarrollados en estos años junto al insecticida DDVP en forma de pastillas de lenta liberación, permite la captura y muerte de los adultos de esta plaga. A su vez en esos años las lógicas presiones de los sectores sanitario, turístico y medioambiental hicieron que los tratamientos aéreos en extensas zonas productoras fueran muy cuestionados. Es a finales de los 90 cuando se empieza a sustituir esa ayuda de la Administración Estatal de los tratamientos aéreos por la ayuda para hacer trampeo masivo relativo en determinadas zonas más concretas.
Así, en un principio el trampeo consistía en poner un número de trampas por hectárea que permitiera bajar la población de la Mosca en pequeñas zonas elegidas por su alto valor y que debía ser complementado por los tratamientos realizados por el agricultor. En los siguientes años el control pasó a ser autonómico y las diferentes comunidades del Arco Mediterráneo Español se fueron sumando a esta subvención.
En el 2006 aparece en el mercado CERA TRAP®; el primer sistema de trampeo masivo para el control total de la mosca de la fruta y no sólo para bajar la población. Un producto que permite reducir el número de aplicaciones insecticidas al mínimo o incluso las hacía innecesarias. Su aparición supuso el comprender que se podía realmente controlar la plaga con un esfuerzo económico similar al que venía realizando el agricultor, pero con un mínimo o nulo impacto medio ambiental y de residuos de pesticida sobre la fruta fresca. A partir de entonces los diferentes productos a base de trimetilamina, putrescina, acetato amónico e insecticida (vapona que luego será sustituida por las tapas de las trampas impregnadas con piretrinas de síntesis) se van desarrollando para bajar población y permitir la reducción del número de aplicaciones con insecticidas (Botta, 2013).
Estas gráficas que vemos a continuación (Gráfica 1 & 2) corresponden a un ensayo realizado en 2005 sobre 3 ha de mandarina Oronules, y representan lo que supuso Cera Trap®; el control de la Mosca del Mediterráneo sin una aplicación de insecticida con resultados incluso mejores a la realización de 7 aplicaciones con insecticidas. Instalando los mosqueros el 15 de agosto se reduce la población y los daños a un nivel testimonial tras la recolección en la primera quincena de octubre.

Gráfica 1. Presión de plaga de Ceratitis (moscas / mosquero y día) con los 3 sistemas de control en subparcelas de mandarina Oronules. Las flechas representan aplicación de insecticida.

Gràfica 2. Número de frutos picados en 10 árboles y por parcela, en árbol y en suelo.
APORTACION A LA BIOPROTECCION.
-El uso de un sistema con un atrayente biológico como Cera Trap® confiere dos ventajas añadidas. Por un lado, los atrayentes líquidos no necesitan ni en su formulación ni en su uso, el empleo de ninguna sustancia insecticida. Por otro lado, puesto que funcionan por emisión de compuestos volátiles proteicos, suelen atraer mayoritariamente individuos hembras (agente reproductor y responsable del daño en la fruta), a diferencia de compuestos de feromonas sexuales que atraen mayoritariamente a machos.
-Posibilidades de combinar esta técnica con aplicaciones de insecticidas reduciendo su número, así se producen diferentes modalidades de manejo para el control de las moscas de las frutas, al igual que con otros sistemas de trampeo masivo, se reducen las pulverizaciones cebo con piretrinas y otros insecticidas. En diferentes trabajos realizados en frutales y cítricos en el Sureste Español se ha comprobado este manejo para el control exitoso de la plaga. No hay que ignorar que el agricultor necesita una producción limpia de esta plaga y que durante años lo que le ha dado la tranquilidad es la aplicación de insecticidas. A modo de ejemplo, en el siguiente cuadro se refleja los datos de uno de estos trabajos. Siempre la metodología es el llevar un control del nivel de población mediante el seguimiento de unos mosqueros control, que son los que nos van a indicar la conveniencia de realizar una aplicación insecticida para asegurar la ausencia de plaga en la cosecha. Se instala el sistema de trampeo, se monitoriza la población semanalmente y en función del grado de madurez y nivel de población, se realiza o no una aplicación de insecticida. En estos ensayos se compara Cera Trap® en diferentes densidades con un programa de aplicación de insecticidas y un estándar de trampeo masivo (Decis Trap – Bayer) (Tabla 1). En todos los tratamientos el control de la plaga fue satisfactorio y la fruta picada en ningún caso alcanzó el 1%.
Tabla 1. Tratamientos de un ensayo con parcelas elementales de 1 ha de melocotonero Andros en el municipio de Hellín, Albacete.

El respeto a la fauna auxiliar, de todos es conocida la importancia que este grupo de insectos y ácaros que depredan y parasitan a las plagas que afectan a nuestros cultivos. En diferentes estudios realizados tanto en España como en otros países se ha comprobado que la acción sobre estos insectos beneficiosos es prácticamente nula.
Un estudio sobre la fauna útil y las capturas de insectos no diana con Cera Trap fue realizado en el Gruppo Italiano Entomologia Forense de Bari, en Italia. Se utilizaron trampas/botellas de PET con dos tipos de orificios, de 4 y 8 mm de diámetro respectivamente. Se colocaron en los campos alternativamente para ver las diferencias de capturas según el tamaño de estos y su influencia en la emisión de volátiles y la facilidad de entrada para los insectos. El estudio se llevó a cabo en dos fincas de cítricos ecológicos, para asegurar el mayor número posible de insectos útiles. Con árboles de 20 años y sin aplicaciones de insecticida ni fungicida en los últimos 3 años. En cada finca se colocan 6 pares de trampas/botellas con los distintos orificios. Las trampas se colocaron el 10 de agosto a una altura aproximada de 1,7 m. en el interior del árbol y se dejaron allí capturando insectos durante 15 días, pasado este momento se llevaron a laboratorio. Allí los organismos capturados son contabilizados y clasificados con microscopios estereoscópicos con luz reflejada y transmitida, se procedió a su identificación y clasificación taxonómica. De los organismos no diana capturados destacan las hormigas, también otras moscas ubicuas Calliphoridae y otros artrópodos carroñeros cuya captura tiene consecuencias irrelevantes en el agro sistema. Finalmente, las trampas han capturado un mínimo de antagonistas, tanto en número como en porcentaje.
Tabla 2. Cuadro analítico general de las capturas por tipo de trampa y por grupo taxonómico.

Su eficacia generalizada sobre la mayoría de las moscas de las frutas. Realizados diferentes trabajos en los 5 continentes sobre los géneros y especies variados que causan importantes daños en los cultivos frutales de clima cálido, y tropical. Vamos a reflejar aquí algunos de estos trabajos.
Un ensayo realizado sobre un cultivo de mango en la región Sureste de Ghana, con clima húmedo tropical y una incidencia muy alta todos los años por daños de diversas moscas de las frutas, Bractocera invadens, Ceratitis capitata, Ceratitis bemii, Ceratitis cosyra, Ceratitis rosa y Dacus sp. Fue llevado a cabo por el Departamento de Ciencias de los cultivos, Biología animal y Ciencias medioambientales de la Universidad de Ghana. En el trabajo se evaluaron tres densidades de trampas, también otros tres atrayentes alimenticios y se comparó con trampas cebadas con Methyl eugenol, atrayente para machos que se utiliza para la monitorización de las diferentes moscas. Se evaluaron semanalmente las capturas de las diferentes trampas, tanto para las moscas de las frutas como para los insectos no diana, así se pudo ver el efecto sobre los diferentes auxiliares, polinizadores, parasitoides y predadores (Tabla 3, 4 y 5).
Tabla 3. Promedio de especies no diana capturadas por los diferentes atrayentes alimenticios después de 48 días de exposición.

Tabla 4. Número de moscas de la fruta y porcentaje de hembras capturadas durante los 48 días de exposición.

Tabla 5. Promedio (± SEM) de B. Invadens capturadas en trampas expuestas durante 48 días.

Unos trabajos realizados por el Departamento de Agricultura y Pesca de Queensland del Gobierno de Australia en colaboración con Horticulture Innovation Australia Limited sobre cultivos de mango. En la gráfica 3 se puede ver el resultado de diferentes capturas según productos utilizados para la captura masiva en cortos periodos de evaluación.

Gráfica 3. Promedio del número de capturas en trampas por diferentes formulados de estaciones cebos en Mareeba (promedios con letras iguales no son significativamente diferentes p=0.05).
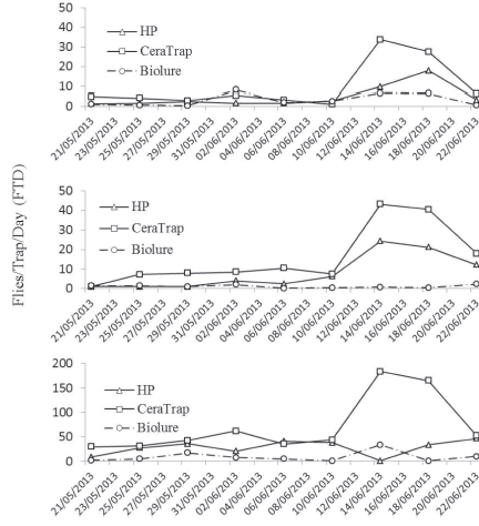
Unos trabajos realizados para el Registro de Cera Trap® en Méjico sobre Anastrepha oblicua. Se comparan con otros atrayentes utilizados y en la gráfica 4 se aprecia la diferencia de capturas en tres parcelas diferentes.

Gráfica 3. Adultos de Anastrepha obliqua capturados por trampa y por día en 3 parcelas independientes donde las moscas fueron monitoreadas con trampas McPhail cebados con Cera Trap o Biolure.
-En definitiva, su aportación a la bioprotección es el éxito en la lucha contra los tephrítidos conocidos por las “moscas de las frutas” minimizando el impacto sobre el medio ambiente, ofreciendo una opción eficaz y económicamente viable para el óptimo control de las moscas de la fruta y permitiendo el desarrollo de un control integrado de plagas en diferentes cultivos y áreas del mundo.
BIBLIOGRAFÍA
-Botta, A. (2013) Cebos líquidos, una alternativa eficaz para el control de dípteros en cultivos de frutales, cítricos y vid. III Jornadas internacionales sobre Feromonas, Atrayentes, Trampas y Control Biológico: Herramientas para la gestión integrada.
-Llorens, E. Matamoros, A. Lucas, C. Marín and N. Sierras (2018) Integrated control of Mediterranean fruit fly Ceratitis capitata (Wied.) by mass trapping with an enzymatic hydrolyzed protein. Control in Citrus Fruit Crops IOBC/wprs Bulletin Vol. 38: 150-156
-Sierras, N., Marín, C., Botta, A., Brossa, R. (2016) Electroantennogram of Ceratitis capitata and field responses on Bactrocera dorsalis with Cera Trap. Proceedings of the 9th International Symposium on Fruit Flies of Economic Importance: 285-293

